何书田《簳山草堂医案》上中下三卷
2025-11-13 06:02:30 中医古籍
《簳山草堂医案》,作者何其伟,字韦人,又字书田,自号北干山人,生于清乾隆三十九年,即1774年,卒于1837年,活了60多岁。其早年住青浦北干山,晚年迂居重固福泉山麓。
何氏为累世名医,医术高明,远近求医者甚多,干山草堂门前常为车船阻塞。何其伟是何氏世医的第二十三代传人,他是一个文人,对诗文非常精通,同时也继承家学,在中医方面有很深的造诣。据说,当年林则徐力主禁烟的时候,曾经委托他研制可以戒断烟瘾的药方。何书田很好地完成了任务,史载“十八味戒烟方”。
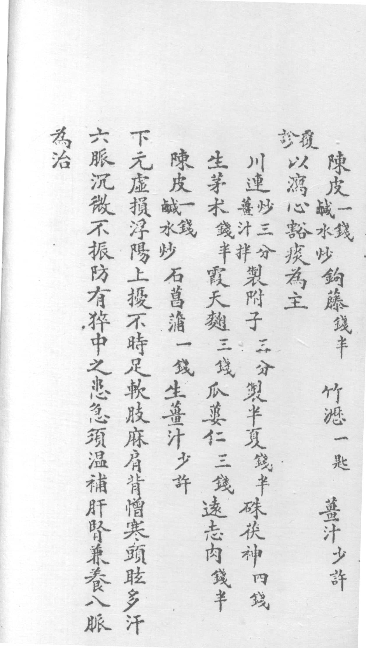
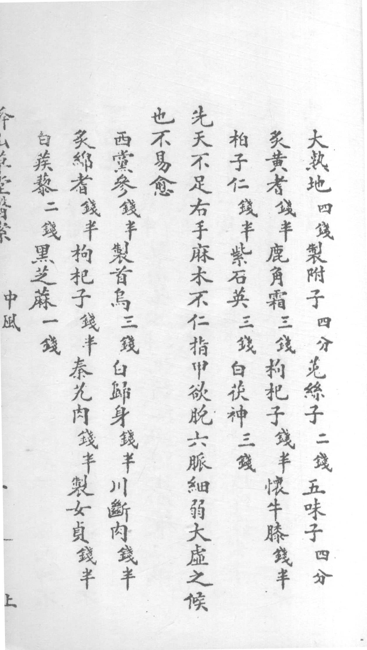
《簳山草堂医案》,分上中下三卷,共列六十五门,合计440页,以内科证治为主,也兼及外科、妇科、五官科等。
查看下载地址:
免责声明:本站所有信息均来源于互联网搜集,并不代表本站观点,本站不对其真实合法性负责。如有信息侵犯了您的权益,请告知,本站将立刻删除。









